什么是GPA?
英文全称Grade Point Average,即成绩平均绩点,将学生在校期间所修课程的成绩和学分比重,通过特定公式算出来的加权平均成绩。
学校会根据学生的GPA来判断申请者是否具有扎实的专业知识、潜在的学术能力以及学习态度。
GPA对留学生的影响涉及方方面面——评定奖学金、顺利毕业、职场就业、申请研究生——无一不需要GPA的成绩作为评估学生素质的重要标准。
GPA成绩怎么算?
每个国家,甚至每个学校的评分系统都不一样,比如,大多数美国学校采用4分制,而绝大多数中国学校采用100分制。因此,在申请国外学校的时候需要换算成对方习惯的形式。

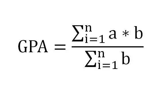
比较常见的方法还有把各科成绩绩点乘以学分之和再以总学分除之。美国4分制GPA的换算方法参见下表:

GPA常见算法:
WES算法
即World Education Services算法。有些学生可能会去做成绩认证,那么认证出来的平均绩点就是按照WES算法算出来的,一般用这种算法结果会比较低。标准如下:

标准4.0算法
这是国际上非常普遍的一种算法。标准如下:

标准算法改进1
标准如下:

标准算法改进2
标准如下:

北大算法
北京大学采用的GPA计算方法,分数段划分更加细致,机损结果相对较高。标准如下:

免责声明:本文内容,图片来源于互联网及文摘转载整编而成,不代表本站观点,不承担相关法律责任。其著作权归其原作者所有。如发现本站有侵权/违法违规的内容,侵犯到您的权益,请联系站长,一经查实,本站将立刻处理。
